13 10 Contoh Soal Integral Tak Tentu



By angga murjana posted on 08042020. 10 contoh soal integral tak tentu.

Contoh Soal Integral Tentu Beserta Cara Penyelesaianya Amp Lt Br

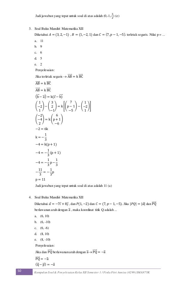
Contoh soal dan pembahasan.

10 contoh soal integral tak tentu. Baik seperti itu saja artikel kali ini dari pintar nesia mengenai materi integral yang berjudul pengertian integral tentu dan tak tentu integral trigonometri dan contoh soal integral mudah dan pembahasn soal integral mudah mudahan artikel ini bisa di pahami dan menambah pengetahuan saya dan teman teman pembaca pintar nesia semuanya terimakasih telah berkunjung di pintar nesia. Oleh dosenpendidikan diposting pada 22062020. Pada postingan kali ini saya akan memposting tentang integral tentu.

Setelah sebelumnya kita membahas lengkap materi integral kali ini kita akan membahas contoh soal integral dengan menggunakan sifat sifat integral tentu dan tak tentusimak soal dan pembahasan berikut untuk meningkatkan pemahamanmu mengenai cara penyelesaian soal soal integral. Fungsi ini belum mempunyai nilai pasti sampai cara pengintegralan yang menghasilkan fungsi tidak tentu ini disebut sebagai integral tak tentu. Di kesempatan sebelumnya dalam tutorial serba definisi ini telah disinggung tentang turunan differensial baik turunan fungsi aljabar maupun turunan fungsi trigonometrinah taukah anda bahwa integral merupakan kebalikan dari turunan.

Matematika merupakan ilmu pengetahuan yang memiliki sifat universal dimana matematika ini memiliki peran penting di semua bidang ilmu pengetahuan. Contoh soal integral tentu tak tentu substitusi parsial trigonometri. 10 contoh soal integral tak tentu.

Integral tak tentu atau yang dalam bahasa inggris biasa disebut sebagai indefinite integral maupun ada juga yang menyebutnya sebagai antiderivatif merupakan sebuah bentuk operasi pengintegralan pada suatu fungsi yang menghasilkan suatu fungsi baru. Integral merupakan cabang ilmu matematika yang memiliki tingkat kesulitan cukup tinggi. Sebelum masuk pada contoh soal dan pembahasannya saya mengulas sedikit tentang pengertian dari integral tentu dan apa saja sifat sifat yang perlu kita ketahui dalam mengerjakan soal.

Posting pada matematika ditag 10 contoh soal integral tak tentu 50 soal dan jawaban integral pdf 50 soal dan jawaban integral tentu aplikasi integral tak tentu aturan integral tak tentu contoh soal integral brainly contoh soal integral parsial contoh soal integral parsial kuliah contoh soal integral parsial pdf contoh soal integral. Contoh soal integral tentu tak tentu substitusi parsial trigonometri by angga murjana posted on 08042020. Matematika digunakan di seluruh dunia sebagai alat penting di berbagai bidang.

Mata pelajaran matematika kali ini akan membahas tentang integral dimana fokus kita tentang integral tak tentu. Assalamualaikum wr wb salam sejahatera untuk semuanya.

Soal Integral Dan Pembahasan

Pembahasan Soal Integral Guru Ilmu Sosial

Soal Integral Dan Pembahasan

10 Contoh Soal Integral Tak Tentu Rumusrumus Com

Bag 5 Integral

Index Of Wp Content Uploads 2019 05

Gambarkan Kurvanya Dan Hitunglah Luas Daerah Yang Dibatasi

Contoh Soal Integral Tentu Matematika 11 Sma

Contoh Soal Ijtegral Pardial Dengan Jawabanya Syncgreat

Soal Integral Dan Pembahasan

Contoh Soal Integral Smk

Cara Mengerjakan Integral Tak Tentu Guru Ilmu Sosial


Komentar

Postingan populer dari blog ini

11 Contoh Bacaan Izhar Dalam Surah Al Baqarah

14 Contoh Berita Acara Pemusnahan Barang